Skip to content

Sirish Subash

Science to Improve the World

  • Home
  • About
  • News
  • Contact
  • Blog
  • Book 2: resources
    • Chapter 3 Resources
    • Chapter 4 Resources
    • Chapter 6 Resources

Chapter 3 Resources

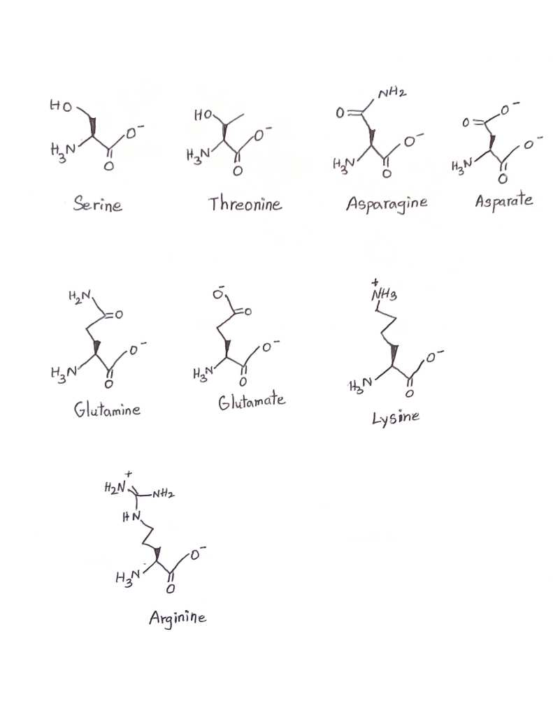
Resources on amino acids:

table of hydrophobic amino acids
hydrophilic amino acids

Share this:

  • Share on X (Opens in new window) X
  • Share on Facebook (Opens in new window) Facebook
Like Loading...
  • Facebook
  • YouTube
  • LinkedIn
  • Instagram
  • X
Sirish Subash, Website Built with WordPress.com.
  • Subscribe Subscribed
    • Sirish Subash
    • Already have a WordPress.com account? Log in now.
    • Sirish Subash
    • Subscribe Subscribed
    • Sign up
    • Log in
    • Copy shortlink
    • Report this content
    • View post in Reader
    • Manage subscriptions
    • Collapse this bar

Loading Comments...

    %d